Home ยป Quadratic Equation Questions With Answers
Ncert Solutions For Class 10 Maths Chapter 4 Quadratic EquationsProduct : Order Now ads/responsive.txt ads/responsive.txt
Ncert Solutions For Class 10 Maths Chapter 4 Quadratic Equations
Solved Using The Quadratic Formula In Exercises 69 90 Us
Jee Mains Quadratic Equations Questions And Answers Pdf Tessshebaylo
Quants Questions Quadratic Equations Set 1
Quadratic Equations Area Problems Worksheet Aq1 Answers Pdf
Quadratic Equations Mathematics Gcse Revision
Quadratic Equations Quiz Online Test Aptitude Questions And
Solving Quadratic Equations By The Quadratic Formula Chilimath
Mba Quantitative Aptitude Questions Answers Quadratic
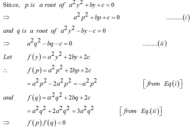
Quadratic Equation Questions With Solutions
5 Cat Quadratic Equations Problems With Solutions You Should
Solving Quadratic Equations By The Quadratic Formula Chilimath
Quadratic Functions
5 Cat Quadratic Equations Problems With Solutions You Should
Quadratic Equations Class 10 Extra Questions Maths Chapter 4
Solving Quadratic Equations Worksheets Practice Questions And
Ml Aggarwal Class 9 Solutions For Icse Maths Chapter 7 Quadratic
Quantitative Aptitude Algebra Quadratic Equation If X 1
Quadratic Equations 100 Word Non Word Problems With Solutions
5 Cat Quadratic Equations Problems With Solutions You Should
Quadratic Practice Sheet All This
Quadratic Equation Test Questions And Answers Tessshebaylo
Completing The Square Example Matematyka Szkola Podstawowa Szkola
Class 10 Important Questions For Maths Quadratic Equations 